次へ: 特殊関数
上へ: 一般相対性理論
前へ: 幾何学量の変分
目次
索引
重力場の正準形式
ここではADM形式と呼ばれるアインシュタイン重力場の正準形式を導入する.
ここでは特に断らない限り
となる自然単位系を用
いる.正準形式には時間変数がなければならない.そこで時空をスライスして,
連続的に時間一定面を定める必要がある.このときの時間変数を
と
し,時刻
の定める3次元面を
とかく.すると各々の
には,4次元計量
から導かれる計量
が定義
できる.この計量を持つ
上の3次元座標を
(
)とす
る.また,計量
で計った,無限小だけ離れた2つの面
と
の間の距離を
とおく.3次元面
上の点
において,この3次元面に垂直なベクトル
が
3次元面
と交わる点は,一般に
において
とは異なる座標値を持つ.そこで,前者の交わりの点から面
上の座標値
へと向かうベクトルを
とする.こ
の状況は図B.2 を見れば分かりやすい。
ここで
はラプス関数,
はシフトベクトルと呼ばれる.このような計量
の分解を(3+1)分解という.
これらの新変数によれば微小時空間隔は
 |
(B.2.119) |
と表せるから,もとの4次元時空の計量は
| |
|
 |
(B.2.120) |
| |
|
 |
(B.2.121) |
という形でなることがわかる.ただし
は
の逆行列,また
である.このときクラメールの公式により
 |
(B.2.122) |
が成り立つ.ここで
,
である.
さて,外曲率
は3次元面
に垂直な単位ベクトル
から
で定義されるから,
 |
(B.2.123) |
と計算される.ただし''
''は3次元計量
に関する3次元的共変微分
を表す.4次元スカラー曲率
は,多少面倒だが計量(B.2.120),
(B.2.121)から直接計算することにより,次の結果となる:
![$\displaystyle \sqrt{-g} R = N \sqrt{h} \left({}^{(3)}R - K^2 + K_{ij} K^{ij}\ri...
...ft[ \sqrt{h} \left(KN^i - h^{ij}\frac{\partial N}{\partial x^j} \right) \right]$](img5117.png) |
(B.2.124) |
ここで
,
とし,
は3次元面
上の3次元スカラー曲率である.
これで時間変数が分離した形で時空が表されたので,次にアインシュタインヒ
ルベルト作用を考える.一般に境界項を含む場合の作用は式(B.2.112):
 |
(B.2.125) |
で与えられる.これに式(B.2.124)を代入して,さらに空間部分の表面項
は考えないことにして落とせば,
 |
(B.2.126) |
となる.この形からただちにラグランジアンが
 |
(B.2.127) |
であることがわかる.すなわち,重力場に対するラグランジアン形式が(3+1)
分解の形で得られたことになる.
さらに,正準形式へと移行する.力学変数は計量を表す
,
,
であるから,これらの正準共役変数
,
,
を求めると,
| |
|
 |
(B.2.128) |
| |
|
 |
(B.2.129) |
| |
|
 |
(B.2.130) |
となる.ここでドットは時間微分を表し,また変数は空間座標に関して連続変
数であるから汎関数微分が用いられている.ここで式(B.2.128),
(B.2.129)は1次拘束条件を与える.この拘束条件が発生する理由はラ
プス関数やシフトベクトルが力学的な変数ではなく,時間一定面のスライスの
方法,またその中での空間座標の変化,という本来の時空とは関係のない人工
的な操作から得られたものだからである.ともかく,これらの正準共役変数に
よりハミルトニアンを構成すると,
となる.ここで
を定義した.1次拘束条件が時間的に常に成り立つことにより,2次拘束条件
が導かれる.ポアソン括弧
により,いまの場合,
 |
|
|
(B.2.134) |
 |
|
|
(B.2.135) |
となるから,2次拘束条件は
| |
|
 |
(B.2.136) |
| |
|
 |
(B.2.137) |
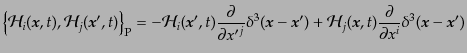
である.計算はたいへん面倒だが,これら都合8つの拘束条件
(B.2.128), (B.2.129), (B.2.136), (B.2.137)の他
には拘束条件は発生せず,さらにすべて第1類の拘束であることを確かめるこ
とができる.その結果は
| |
|
 |
(B.2.138) |
| |
|
 |
(B.2.139) |
| |
|
 |
(B.2.140) |
である.ここで,ハミルトニアン(B.2.131)は拘束条件とそのラグランジュ
未定定数のみで書けてしまっていることに注意しよう.この事実は重力場が力
学系として特異なものであることを物語っている.すなわち,ハミルトニアン
には運動エネルギーに対応する項がなく,系の時間変化を記述するような力学
的な内容は何も含まれていないのである.系の力学的な内容は拘束条件の中に
含まれているのである.重力場の正準形式がこのような特異なものになる本質
的な理由はもともと系が一般座標変換に対して不変であることにある.通常の
力学系では系の時間発展を解くことによって運動が得られるが,一般相対論に
おいては時間の経過そのものが力学変数によって決まるという他の力学系では
考えられない性質を持っている.
次へ: 特殊関数
上へ: 一般相対性理論
前へ: 幾何学量の変分
目次
索引
Copyright©2004-2010Takahiko Matsubara, All rights reserved.
visitors,
pageviews since 2007.5.11